Home
Bhagya Vihar, Jain Colony, Madan pur Dabas New Delhi – 110081
: 8810590495 , 9212644898
: hos1412165@gmail.com
HEERA LAL PUBLIC SCHOOL
Notice Board
Home
About Us
School History
School Information
Academics
Addmission Form
Nursery To 8th Class
Class 9th
Class XIth
Subject Offered
Syllabus
Exam Schedule
circular
School Rulle For Parents
School Rules For Student
School Calender
Admission
Addmission Criteria
Admission Class KG To IXth
Admission in Class XIth
Fee Structure
Student Zone
Circulars
School Timing
P.T.M Schedule
Holiday Homework
Time Table
Assigenment
Sample Papper
Infrastructure
School Building
Labs
Library
Play Ground
Medical Room
Arts & Craft
Music & Dance
Transport Facilities
Gallery
Photo Gallery
Farewell
Annual Day
Sport Day
Ocassion
Trip
Video Gallery
Achievement
CBSE Result Class X
CBSE Result Class XII
Other Achievement
Mandatory disclosure
Recognition upto 8th Class
Grant Of External From DOE
Fee Structure
List of Smc Member
Last Three Year Result of 10th & 12th Class
Registration of Society
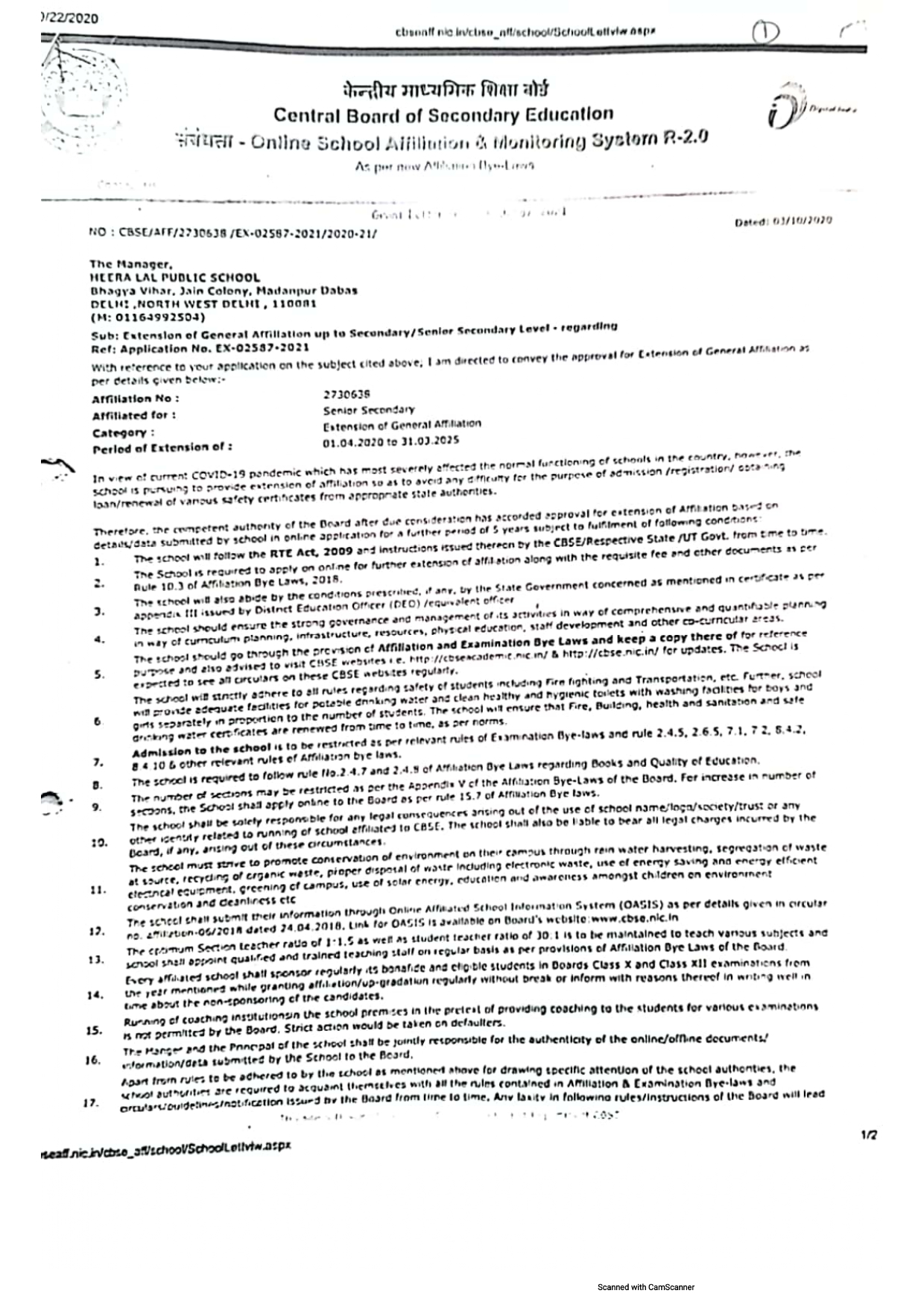
Provision Extension From CBSC
Annual Calender 2023-24
Essential Certificate
Fire Safety
Jal Board
Health Certificate
Self Declaration Certificate
Land Status Certificate
Building Safety Certificate
Contact Us
Provision Extension From CBSC